孔板流量計說明書
孔板流量計
孔板流量計|孔板流量計廠家
介紹
孔板流量計是將標準孔板與多參量差壓變送器(或差壓變送、溫度變送器及壓力變送器)配套組成的高量程比差壓流量裝置,可測量氣體、蒸汽、液體及天然氣的流量。
應用
孔板流量計廣泛應用于石油、化工、冶金、電力、供熱、供水等領域的過程控制和測量。
孔板流量計被廣泛適用于煤炭、化工、交通、建筑、輕紡、食品、醫藥、農業、環境保護及人民日常生活等國民經濟各個領域,是發展工農業生產,節約能源,改進產品質量,提高經濟效益和管理水平的重要工具在國民經濟中占有重要的地位。
在過程自動化儀表與裝置中,流量儀表有兩大功用:作為過程自動化控制系統的檢測儀表和測量物料數量的總量表。

孔板流量計結構
節流件:標準孔板、標準噴嘴、長徑噴嘴、1/4圓孔板、雙重孔板、偏心孔板、圓缺孔板、錐形入口孔板等 取壓裝置:環室、取壓法蘭、夾持環、導壓管等 連接法蘭(國家標準、各種標準及其它設計部門的法蘭) 、緊固件。 測量管。
孔板流量計的安裝要求:對直管段的要求一般是是前10D后5D,因此在選購孔板流量計時一定要根據流量計的現場工礦情況來選擇適合現場工礦的流量計。
充滿管道的流體,當它們流經管道內的節流裝置時,流束將在節流裝置的節流件處形成局部收縮,從而使流速增加。
工作原理
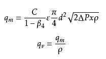
在已知有關參數的條件下,根據流動連續性原理和伯努利方程可以推導出差壓與流量之間的關系而求得流量。其基本公式如下:

c-流出系數 無量綱
d-工作條件下節流件的節流孔或喉部直徑
D-工作條件下上游管道內徑
qm-質量流量 Kg/s
qv-體積流量 m3/s
d/D-直徑比 無量綱
流體的密度Kg/m3
可膨脹性系數 無量綱
優缺點
優點
1、標準節流件是全用的,并得到了國際標準組織的認可,無需實流校準,即可投用,在流量傳感器中也是唯一的;
2、結構易于復制,簡單、牢固、性能穩定可靠、價格低廉;
3、應用范圍廣,包括全部單相流體(液、氣、蒸汽)、部分混相流,一般生產過程的管徑、工作狀態(溫度、壓力)皆可以測量;
4、檢測件和差壓顯示儀表可分開不同廠家生產,便于專業化規模生產。
缺點
1、測量的重復性、精確度在流量傳感器中屬于中等水平,由于眾多因素的影響錯綜復雜,精確度難于提高;
2、范圍度窄,由于流量系數與雷諾數有關,一般范圍度僅3∶1~4∶1;
3、有較長的直管段長度要求,一般難于滿足。尤其對較大管徑,問題更加突出;
4、壓力損失大;
5、孔板以內孔銳角線來保證精度,因此傳感器對腐蝕、磨損、結垢、臟污敏感,長期使用精度難以保證,需每年拆下強檢一次;
6、采用法蘭連接,易產生跑、冒、滴、漏問題,大大增加了維護工作量。
適用范圍
1. 公稱直徑: 15 mm ≤DN≤1200mm
2. 公稱壓力:PN≤40MPa
3. 工作溫度:-50℃≤t≤550℃
4.量程比:1:10, 1:15
5. 精度:0.5級,1級
孔板流量計技術參數
節流件名稱
|
適用管道
(DN mm)
|
適用直徑比B(d/D)
|
應用特點
|
流出系數不確定度Ec%
|
設計標準
|
||
角接取壓標準孔板
|
環室式
|
50-500
50-500
|
0.2-0.75
0.2-0.75
|
適用于清潔介質其中GD結構適合高溫高壓條件下流量的測量
|
0.6-0.75%
|
ISO5167
GB/T2624-93
|
|
夾緊環式
|
50-500
|
0.2-0.75
|
易于清除污物,可用于不太清潔流體流量的測量
|
||||
斜鉆孔式
|
450-1000(3000)
|
0.2-0.75
|
|||||
法蘭取壓標準孔板
|
50-1000
|
0.2-0.75
|
易于清除污物,適用于各種介質
|
0.6-0.75%
|
ISO5167
GB/T2624-93
|
||
徑距取壓標準孔板
|
50-1000
|
0.2-0.75
|
|||||
角接取壓標準噴嘴
(ISA1932噴嘴)
|
50-500
|
0.3-0.8
|
壓損小,壽命長,尤其適用于蒸汽流量測量
|
0.8-1.2%
|
ISO5167
GB/T2624-93
|
||
長徑噴嘴
|
50-630
|
0.2-0.8
|
壓損小壽命長,LGP型長徑噴嘴組件適合高參數水和蒸汽流量測量
|
2.0%
|
ISO5167
GB/T2624-93
|
||
經典文丘利管
|
機械加工式
|
100-800
|
0.2-0.8
|
壓力損失小,所需直管段小于孔板、噴嘴
|
1.0%
|
ISO5167
GB/T2624-93
|
|
粗焊鐵板式
|
200-1200(2000)
|
0.4-0.7
|
1.5%
|
||||
文丘利噴嘴
|
65-500
|
0.316-0.77
|
同上
|
1.2-1.75%
|
ISO5167
GB/T2624-93
|
||
1/4圓孔板
|
25-150
|
0.245-0.6
|
適用于低雷諾數
|
2.0-2.5%
|
DIN BS
|
||
錐形入口孔板
|
25-250
|
0.1-0.316
|
同上
|
2.0%
|
BS
|
||
圓缺孔板
|
50-1500
|
0.32-0.8
|
適用于贓污,有氣泡析出或含有固體微粒的流體測量。
|
1.5%
|
DIN
|
||
偏心孔板
|
100-1000
|
0.46-0.84
|
1-2%
|
ASME
|
|||
小孔板
|
12.5-40
|
0.2-0.75
|
適用于小管道流量測量
|
0.75%
|
ASME
|
||
透鏡式孔板
|
12.5-150
|
0.2-0.75
|
適用于高壓常溫小管道流量測量
|
0.6-0.75%
|
ISO5167ASME
|
||
端頭孔板
|
大于等于15
|
0.2-0.62
|
1.5-2.0%
|
||||
雙重孔板
|
25-400
|
0.2-0.8
|
適用于大流量測量
|
||||
限流孔板
|
卓力工礦是國內知名孔板流量計生產廠家,有豐富的經驗為客戶提供高品質的孔板流量計及完善的售后服務,如果您想了解最新孔板流量計價格或者更詳細信息,歡迎撥打服務熱線:13280082001 18605374511.或者聯系在線客服:
點擊這里、立刻咨詢;我們攜程為您服務!
常見問題:孔板流量計發貨時間? 孔板流量計售后保障? 孔板流量計訂貨需要提供什么信息?
產品標簽:孔板流量計|
孔板流量計廠家
|
上一篇:智能型孔板流量計
下一篇:沒有了!